今回は球の表面積と体積の公式の確認およびその導出を紹介します。
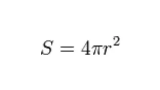
球の表面積
公式の覚え方

「身 (3) の上 (/) に心 (4) 配 (π) ある (r) 参上(3乗)」
導出方法
ここからは高校数学の範囲です。
積分を行います。球を細かくスライスして得られる円の面積を足し合わせることで求められます。


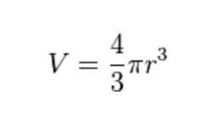
球の体積
公式の覚え方

「心 (4) 配 (π) ごとがある (r) 事情(2乗)」
導出方法
球の体積と同様に積分を行いますが、x方向について積分するのではなく、円周を球の表面に沿った l方向に積分することに注意しましょう。


