【必見!!】気体の考え方~ボイルシャルルからファンデルワールスまで~
気体の扱い方
今回は気体について紹介していきます。気体をについて教える際の足がかりになること間違いありません!!気体を教える際はぜひこの記事を参考にしてみてください!!ボイルの法則から始まり、気体の状態方程式、さらに教科書では発展的内容として扱われていることの多いファンデルワールスの状態方程式まで紹介していきます。盛りだくさんです!!式の導出をしっかりと確認し、ボイルの法則から状態方程式までの流れをつかんでいってください。そして、ファンデルワールスの状態方程式は、受験生を持つ講師のみなさんにも参考となります。これを読み終えた後には、みなさんもスムーズに気体の分野の説明ができるようになっていることでしょう!!
ボイルシャルルの法則
ボイルシャルルの法則から見ていきます。式の導出を丁寧に導出していくので、ボイルの法則、シャルルの法則の内容をもう一度確認し、生徒に教える上で曖昧な点を少しでも解消してもらえれば幸いです。
ボイルの法則:温度が一定の溶き、一定量の気体の体積は圧力に反比例する。
この関係を式で表すと
![]()
あるいは

となります。ここでPは圧力、Vは体積、kaは定数です。
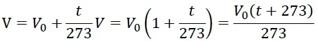
シャルルの法則:圧力が一定にのき、一定量の気体の体積は、温度を1℃上昇させると0℃の時の体積の1/273ずつ増加する。
この関係を式で表すと、

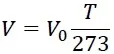
となります。ここでVoは0℃の時の気体の体積であり、tは温度〔単位:℃〕です。温度を低くしていくと気体は液体や固体になるのでシャルルの法則は適用できませんが、定圧の気体では十分に温度を下げていくことができます。それでも-273℃以下では体積が負になってしまうので物理的には意味をなしません。上の式において(t+273)を絶対温度Tといい、単位はK(ケルビン)のは知っていると思いますが確認しておいてください。つまり、

となります。すなわち、シャルルの法則は次のように言い換えることができます。
シャルルの法則:圧力が一定のとき、一定量の気体の体積Vは温度Tに比例する。
ボイルの法則とシャルルの法則を合わせて以下の様にまとめることができ、これをボイルシャルルの法則といいます。
ボイルシャルルの法則:一定量の気体の体積Vは圧力Pに反比例し、温度Tに比例する。
すなわちボイルシャルルの法則は、

または
![]()
で表すことができます。ここでkは定数です。ここまでのポイントとしては、ボイルの法則では体積一定、シャルルの法則では圧力一定ということです。これは最も大事な点なので、生徒には特に強調してあげてください。
気体の状態方程式
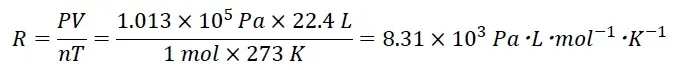
気体の状態方程式を教えるにあたって大事にしてもらいたいところは「1molの気体は273K、1気圧において22.4Lの体積を占める」という点です。温度一定、圧力一定では気体の体積は物質量nに比例するので、ボイルシャルルの法則は次のように表されます。
![]()
この式を気体の状態方程式を言います。また、Rは気体定数です。ここで気体定数を求めていきます。

もしもLでなくてm^3で表すのであればR=8.31になり値が1/1000になるので注意が必要です。教える際も、生徒さんにはこの気体定数Rの単位について強調しましょう。問題文を読む際に単位を見間違えると桁数がずれているいうことも多くあるので、生徒にはその都度確認するようにしてください。
気体の分子量
気体の状態方程式を利用すると気体の分子量を直接求めることができます。物質のモル質量をM〔g/mol〕とすると、物質量nは質量w〔g〕を用いて

と表されます。したがって、気体の状態方程式に代入することで

とわかります。気体の質量と温度、圧力、体積が分かれば、その気体の分子量が計算できます。「物質量は質量とモル質量から求められる」という基本的なことが抜けている生徒さんもいるので、改めて確認してあげると良いです。
混合気体と分圧
これまでは一つの物質からなる気体を扱ってきました。みなさんは、混合気体の説明をする際どのように説明しているでしょうか。「そういうものだから」とあっさり説明するのもいいですが、式の導出もしてあげると生徒の理解も格段に上がります。さて、混合気体に関してはどう考えるべきかを順を追って説明するので、この機会にみなさんも復習してください。
混合気体の状態方程式
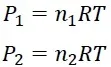
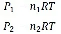
いま、2種類の気体物質をそれぞれn1モル、n2モルと表します。これらを混合して体積Vの容器に入れた場合について考えます。それぞれの気体成分は容器内では他の物質と相互作用しないと考えることができるので、それぞれの気体の圧力をP1,P2とすれば温度Tにおいて

が成り立ちます。両辺を足すと
となります。また容器にかかる圧力の全圧Pは両方の気体によって生じるので、
![]()
です。つまり、混合気体の全物質量n1+n2をnと表せば、
![]()
となり、一つの物質がnモルあるときの状態方程式と同じになります。
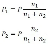
分圧について考える

であるので
![]()
だとわかります。よって

と表せます。これを分圧といいます。またn1/(n1+n2)あるいはn2/(n1+n2)をモル分率というということをあわせて言っておきます。
3種類以上の気体成分を扱うときも同様に導かれます。分圧やモル分率の教え方も、天下り的な教え方になりがちですが、理論的に示すことで生徒の理解も早くなり忘れることも少なくなります。
理想気体と実在気体
ここまで見てきたボイルシャルルの法則や気体の状態方程式は、気体を理想気体として分子間のファンデルワールス力などを考えないときに成立する式でした。実在気体においては完全には成立しません。ここで圧力因子Zというものを考えます。

で定義します。Zはボイルシャルルの法則が成立する場合には1になるはずです。しかし、実在の気体については必ずしも1になりません。ただし、1気圧以下では実在気体も理想気体のように扱えるという事実があります。
ファンデルワールス式と分子間の相互作用
ボイルシャルルの式は一定温度において、kaを定数として
![]()
と表されました。したがって横軸に体積V、縦軸に圧力Pをとるとグラフは双曲線になるはずです。しかし実在気体では圧力因子が1からずれるので双曲線になりません。そこで、かの有名なファンデルワールスは理想気体の状態方程式に二つの定数a、bを入れて、次のように表すと実在気体でも双曲線を再現できることを示しました。
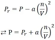
まず、実在気体では分子自身に体積があるので、理想気体に比べて気体としての体積が大きくなります。したがって物質量をnモル、理想気体の体積をV、実在気体の体積をVr (rはrealの略です笑)とすると
ここでbは分子自身の1molにおける体積の効果を表す定数です。
また、実在気体では分子間に引力が働きます。引く力が働くということは、押す力が弱くなるということです。このため理想気体に比べて気体の圧力が小さくなります。分子はお互いに接近するほど、つまり体積が小さいほど引力が大きくなります。この効果は体積の2乗に反比例することが分かっています。よって理想気体の圧力をP、実在気体の圧力をPrとすれば

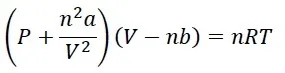
aは1molにおいて分子間に働く引力に関する定数です。a、bは気体の種類によって固有の値です。Vr、Prを気体の状態方程式に代入すれば

この式をファンデルワールスの状態方程式といいます。さらに、1molの気体を扱うのであれば体積はVm=V/nと表せるので

と表すことも可能です。
ここまで式の導出を中心に見てきました。気体に自信の無い講師の方はこの記事をもう一度読んでみて、基礎的な式の導出を改めて身につけてみてください。ここまでいけば自信を持って教えることができること間違い無しです!!